IGF-1 and IGFBP 3 in Growth Hormone Deficiency Role of Insulin Like Growth Factor-1 (IGF-1) and IGF Binding Protein 3 in the Diagnosis of Growth Hormone Deficiency: Changing Paradigm

Authors

  • SK Kota Department of Endocrinology, Medwin Hospital, Hyderabad, Andhra Pradesh
  • S Jammula Department of Pharmaceutics, Roland Institute of Pharmaceutical Sciences, Berhampur, Orissa
  • K Gayatri Department of Obstetrics and Gynaecology, Riyadh Care Hospital, Riyadh
  • SK Kota Department of Anaesthesia, Central Security Hospital, Riyadh
  • PR Tripathy Department of Anatomy, Kalinga Institute of Medical Sciences, Bhubaneswar, Orissa
  • KD Modi Department of Endocrinology, Medwin Hospital, Hyderabad, Andhra Pradesh

DOI:

https://doi.org/10.3126/jnps.v32i2.5342

Keywords:

Growth hormone deficiency, Insulin like Growth Factor 1, Insulin like growth factor binding protein 3.

Abstract

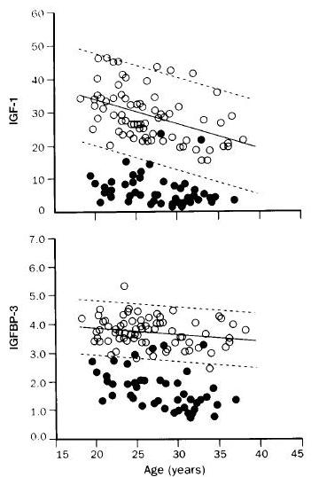
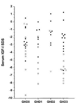
GH stimulation tests are widely used in the diagnosis of GH deficiency (GHD), although they are associated with a high false positive rate. Serum IGF-I levels are monitored during GH replacement treatment in subjects with GH deficiency (GHD) to guide GH dose adjustment and to minimize occurrence of GHrelated side-effects. The need for reliance on provocative testing is based on evidence that the evaluation of spontaneous growth hormone (GH) secretion over 24 hours and the measurement of IGF-I and IGFBP-3 levels do not distinguish between normal and GHD subjects. Regarding IGF-I, it has been demonstrated that very low levels in patients highly suspected for GHD (i.e., patients with childhood-onset, severe GHD, or with multiple hypopituitarism acquired in adulthood) may be considered definitive evidence for severe GHD obviating the need for provocative tests. However, normal IGF-I levels do not rule out severe GHD and therefore adults suspected for GHD and with normal IGF-I levels must undergo a provocative test of GH secretion. We hereby review the various literatures at disposal justifying the use of IGF-1 and IGBP3 for diagnosis of growth hormone deficiency.

Data Source: We searched PUBMED and MEDLINE database for relevant articles including key words. References of each article were further reviewed for final synthesis of the manuscript.

J Nepal Paediatr Soc 2012;32(2):154-162

doi: http://dx.doi.org/10.3126/jnps.v32i2.5342

Downloads

Download data is not yet available.
Abstract
1328
PDF
1170

Downloads

Published

2012-10-01

How to Cite

Kota, S., Jammula, S., Gayatri, K., Kota, S., Tripathy, P., & Modi, K. (2012). IGF-1 and IGFBP 3 in Growth Hormone Deficiency Role of Insulin Like Growth Factor-1 (IGF-1) and IGF Binding Protein 3 in the Diagnosis of Growth Hormone Deficiency: Changing Paradigm. Journal of Nepal Paediatric Society, 32(2), 154–162. https://doi.org/10.3126/jnps.v32i2.5342

Issue

Section

Review Article